Relación entre entrenamiento y rendimiento deportivo
La comprensión de la relación entre el volumen y la intensidad del entrenamiento con la mejora en el rendimiento es muy importante para el diseño de programas de entrenamiento que intenten maximizar la capacidad de rendimiento del atleta evitando lesiones y sobreentrenamiento.
El abordaje habitual suele ser una combinación de tradición (el conocimiento de lo que ha funcionado previamente), abordaje empírico (experimentación del tipo prueba y error) y aplicación de los principios fundamentales del entrenamiento (ej. el principio de sobrecarga).
En varios estudios científicos esta relación ha sido analizada en forma cuantitativa, los métodos son variados pero el más utilizado es el conocido como modelo de impulso-respuesta, propuesto inicialmente por Banister et al. en 1975 y que ha sido utilizado con éxito para predecir los cambios en el rendimiento inducidos por el entrenamiento en diferentes deportes. Actualmente existe software comercial que permite utilizar en forma directa este modelo en casos prácticos como veremos mas adelante.
Con el objetivo de facilitar la aplicación práctica de este modelo a la realidad del entrenamiento de resistencia el Dr. Andrew R. Coggan ha desarrollado una versión simplificada del modelo de impulso-respuesta denominada Performance Manager que presentaremos en la segunda parte de esta nota (ver Modelo Gráfico Simplificado)
El modelo de Impulso-Respuesta
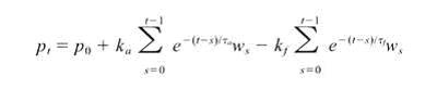
En el modelo de impulso-respuesta la relación cuantitativa entre el entrenamiento y el rendimiento se representa como una función de transferencia cuya entrada es la “dosis” diaria de entrenamiento (combinación de volumen e intensidad, ver Cuantificación de la Carga de Entrenamiento) y la salida es el rendimiento esperado del atleta.
Esta función de transferencia que describe los mecanismos de adaptación del atleta al entrenamiento está compuesta de dos filtros de primer orden
- Uno representa las adaptaciones de largo plazo al entrenamiento que tienen un efecto positivo sobre el rendimiento (efecto crónico / adaptación)
- El otro los resultados de corto plazo que tienen un efecto negativo sobre el rendimiento (efecto agudo / fatiga)
Por ejemplo: la aplicación de una carga de 100 unidades el día 1 produce el siguiente efecto a lo largo del tiempo: inicialmente el rendimiento se deteriora por el efecto agudo (fatiga), a medida que esa fatiga va disminuyendo comienza a predominar el efecto crónico (adaptación) y el rendimiento comienza a mejorar hasta llegar a un pico luego del cual comienza a decrecer nuevamente al no aplicarse un nuevo estímulo (desentrenamiento):
La aplicación de este modelo a la carrera, natación, ciclismo y triatlón en trabajos publicados muestra que es capaz de explicar mas del 70% (y hasta mas del 90%) de la variación diaria del rendimiento (es decir el coeficiente de determinación R^2 entre los valores que predice el modelo y los reales es típicamente superior a 0.7 y frecuentemente superior a 0.9).
Caso práctico: aplicación al atletismo de pista/cross y calle
El ejemplo que presentamos a continuación está basado en datos reales de entrenamiento y resultados en competencia del atleta Miguel Andrade, guiado por el entrenador nacional de atletismo Marcelo Spinelli (http://www.staa.com.ar/), Miguel en su segunda temporada ha mostrado importantes mejoras en su rendimiento logrando en 2007 marcas de 4:30 en 1500m, 9:54 en 3000m y 17:15 en 5000m además de muy buenos resultados en Cross y carreras de calle.
La forma detallada y rigurosa en que Miguel lleva registro de sus entrenamientos y competencias permite realizar un interesante análisis de la relación entre su entrenamiento y su rendimiento a fin de entender como se comportan estos modelos, que funcionan muy bien en el ámbito experimental, cuando se los lleva a casos reales.
La recolección de datos sobre la carga de entrenamiento fue realizada por el propio atleta utilizando una planilla de cálculo que permite computar la carga de entrenamiento de cada sesión basado en velocidad de carrera de cada segmento del entrenamiento (ver planilla ModeloEntrenamiento.xls).
Para la evaluación del rendimiento se utilizaron los tiempos reales de competencias de pista, cross y calle en distancias entre 5000m y 10000m. Utilizando estos resultados se calculó el coeficiente conocido como VDOT definido por el famoso entrenador y científico del deporte J. Daniels (ver Running Training: Determining your current level of fitness).
Finalmente se utilizó el software The RaceDay Performance Predictor, diseñado por el Dr. Philip Skiba, para determinar los parámetros del modelo y el grado de ajuste a los resultados reales.
En el siguiente gráfico puede observarse el resultado (11 competencias consideradas):
La curva representa el rendimiento previsto por el modelo (la escala es el coeficiente VDOT multiplicado por 10) y los puntos son los valores de VDOT*10 de las carreras citadas.
Como puede observarse el ajuste es muy bueno (R^2=0.83), especialmente cuando tenemos en cuenta que estamos hablando de carreras reales en diferentes condiciones y no pruebas realizadas en condiciones controladas.
Las constantes determinadas son típicas, consistentes con los valores publicados en la bibliografía, con el valor de la constante de tiempo de fatiga en un valor relativamente pequeño indicando una capacidad de recuperación superior a la media en este atleta.
Si consideramos todas las competencias en las que el atleta compitió en distancias desde los 1500m hasta los 20km exceptuando solamente aquellas que no implicaron un esfuerzo máximo (carreras usadas como entrenamiento acompañando a otros corredores y una corrida con síntomas de enfermedad según reporte del propio atleta) el ajuste todavía es razonablemente bueno pese a que el coeficiente VDOT disminuye su confiabilidad como medida del rendimiento con un rango tan amplio de duraciones de carrera (17 competencias consideradas desde 4'30" hasta 1h22'):
Como puede apreciarse al correspondencia entre el rendimiento previsto por el modelo y los valores reales es razonablemente buena y se corresponde razonablemen con los resultados publicados por R. H. Morton, J. R. Fitz-Clarke y E. W. Banister en Modeling human performance in running.
En la segunda parte de esta nota comentaremos una versión simplificada orientada a la aplicación práctica basada en los mismos principios.
Agradezco la colaboración de Miguel Andrade y la buena disposición de su entrenador Marcelo Spinelli para compartir los datos de sus entrenamientos y competencias usados en el presente análisis.








5 comentarios